01 Apr Mayor Lenny Curry Orders All Non-Essential Businesses Closed
Posted on April 1, 2020
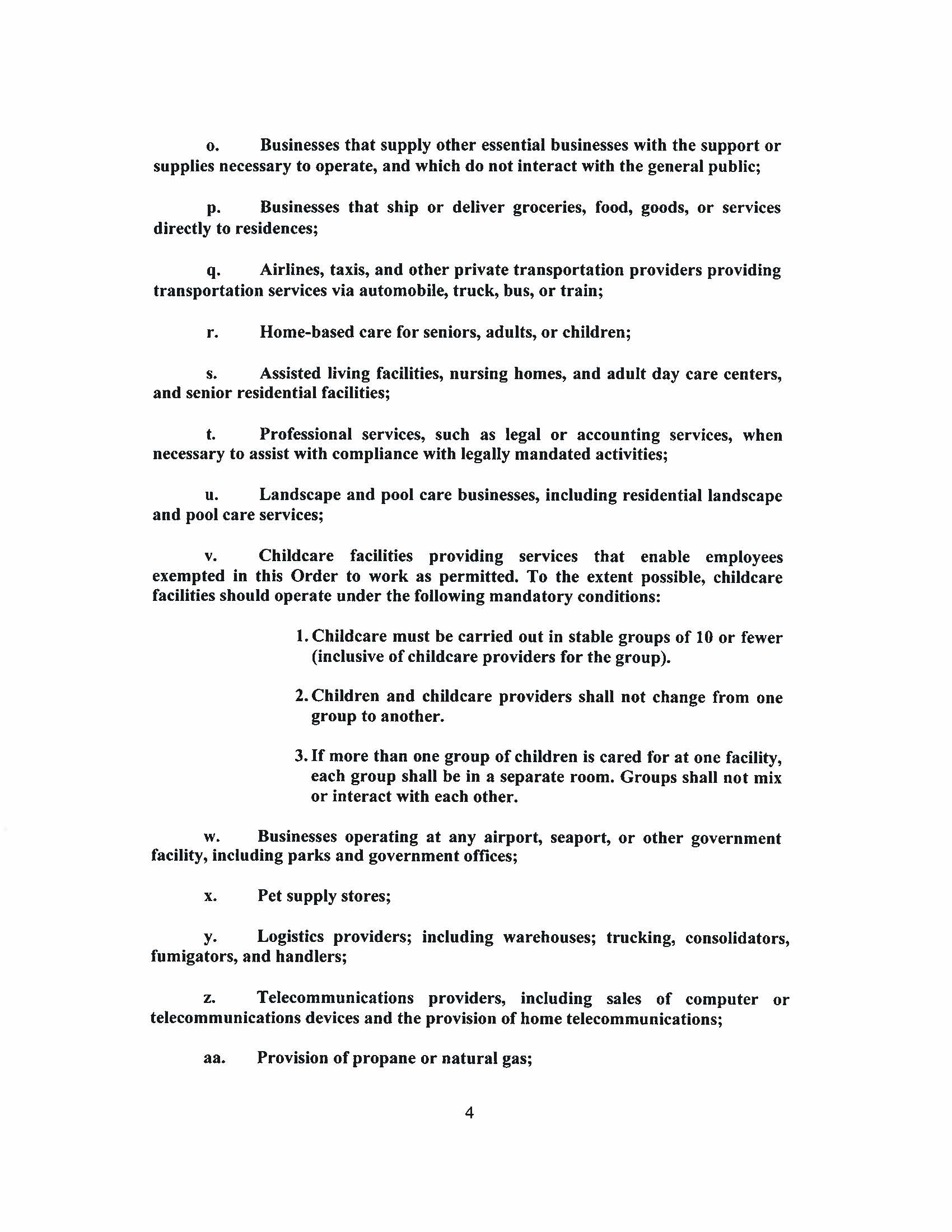
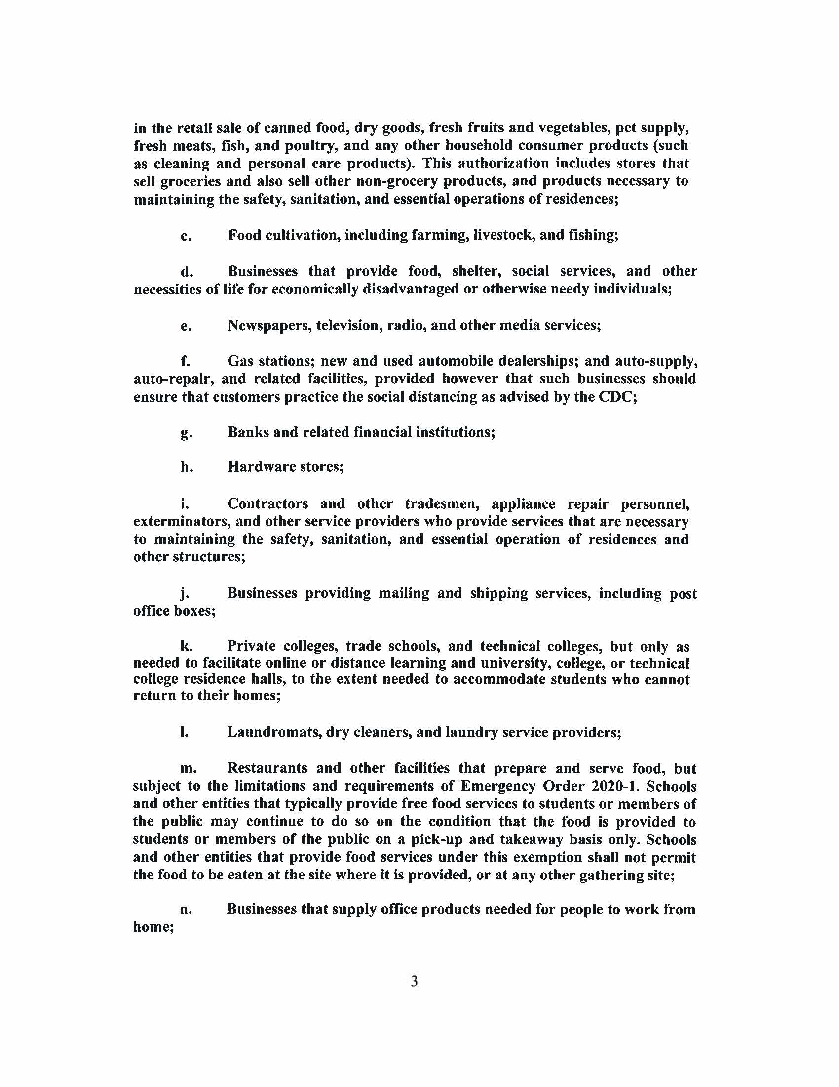
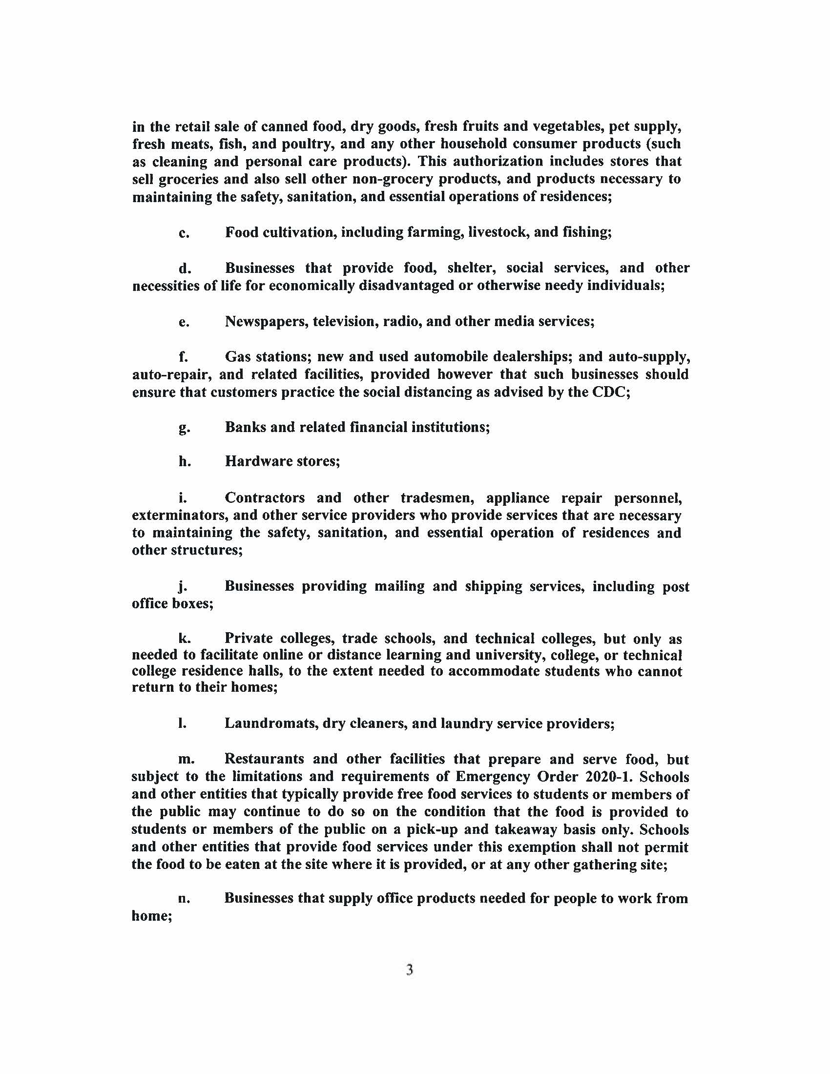
Beginning this Friday, April 3, 2020 at 12:01 a.m., all non-essential businesses are ordered to be closed to customers and employees. Read the full Executive Order below to see what businesses are deemed “essential” and can remain open.





